•    手机版




    下载客户端后,扫描左侧二维码快速访问本站
  •       官方微信
    南丰圈官方微信公众账号
    添加方式:
    1、搜索:微信号(nf_quan)
    2、扫描:扫描左侧二维码
    及时获得南丰信息尽在 "南丰圈"
  • 最近看过此主题的会员

    毒毒视频认证
    发表于: 2020-7-20 18:15:10 | 显示全部楼层


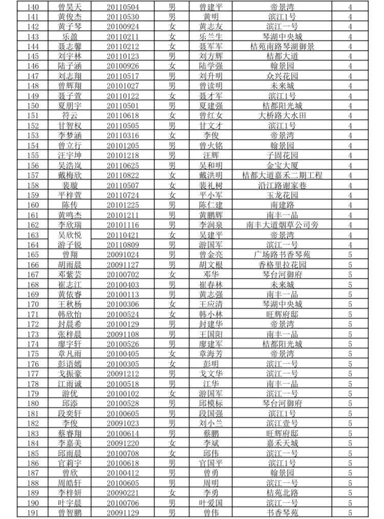
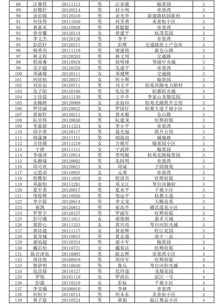
    为贯彻落实《关于做好2020年普通中小学招生入学工作的通知》(赣教基字〔2020〕9号)《关于印发抚州市化解义务教育“大班额”实施意见的通知》(抚府办发〔2018〕125号)《关于严禁义务教育学校非政策性择校行为的通知》(丰办字〔2018〕52号)等文件精神,根据《南丰县2020年秋季城区小学招生方案》(丰招字〔2020〕1号)要求,按照“最多跑一次”改革要求,切实简化、优化入学手续,于6月16日至6月26日开通网络报名系统,为广大家长提供便民服务。

    城区各小学及分校按照招生工作安排,严格遵守招生政策和招生纪律,按时完成入学资料网上审核、实地复查工作,入学佐证材料均由相关职能部门配合进行严格审验。经南丰县城区学校招生工作领导小组核定,现将入学资格审核通过名单予以公示,接受社会监督。公示时间:2020年7月20日至26日。在公示期内,如对公示情况有异议,请向教体局监察室或教育股反映,监察室电话3318107、教育股电话3318102。

    181336dshk2hrpdpwrsrjs.jpg

    子固小学新生名单


    181337t8i4wdxff1txdz8d.jpg

    181338hyijyf2k0fqznybf.jpg

    181339g4m210mm0eaeasoa.jpg

    181340ksg8zbr4shgtgzjz.jpg

    181341n7j6phpih7lq4h4p.jpg

    181342nxsuj1hmefmjejmo.jpg

    181343dz2j2p9f52s95ll9.jpg

    181344p6i48dmmy9295qkk.jpg

    181345khxc77o45ol5d545.jpg

    181346jfx5inxniv821xf8.jpg

    附属小学新生名单


    181347map2npr44vpffvnl.jpg

    181348khxaaz9zja61b1ch.jpg

    181349cnr29tu69s11x411.jpg

    181350vkyv5rwwwqwtjv0i.jpg

    181351x2roppzejp6vp6op.jpg

    181352sj0nw1x4j6jjnwf1.jpg

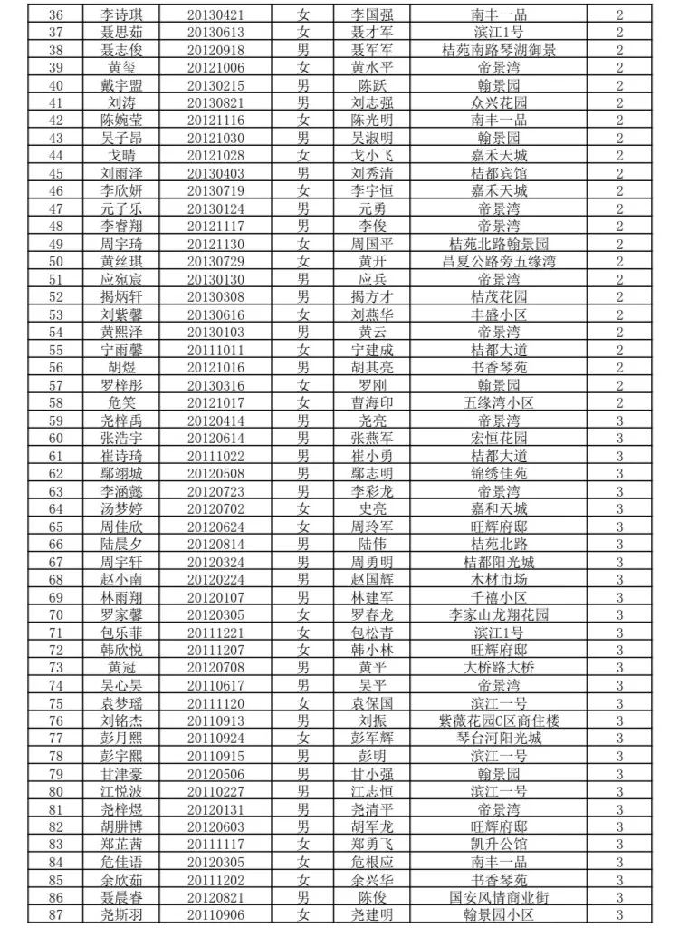
    桔都小学新生名单


    181353is20ll6nzlzln2fr.jpg

    181354ftd8vbp8w7ggpyow.jpg

    181355hf38ab3w0r5abd01.jpg

    181356aogis1i3azp6pgge.jpg

    181357ij5565n5h1zpzi2h.jpg

    181358vymmygsxrbjnppjq.jpg

    181359lvmarehh8c4jrk6a.jpg

    181400cvnwwof6nwc6efo9.jpg

    181401p5pmz2zffpmxz5bf.jpg

    181402p7ttqbijwqp9pq98.jpg

    181403r3srs3vod7saedwm.jpg

    实验小学新生名单

    181404q7m3zw68wn0zuhoz.jpg

    181405jp30n5n1nv530enf.jpg 181406s2cvqcd2vlhmt7u2.jpg

    181407kkszu9l03ldm5ttu.jpg

    181408y1gjizgs1hwhhgy6.jpg

    嘉禾小学新生名单


    181409lj864s56066n8snz.jpg

    181410fyryln55bmp2m8q3.jpg

    181411w6l7v64e4vi7zs4u.jpg

    181412mtj0c9811dlzt8p1.jpg

    181413r9di1z70fdggo1t0.jpg

    181414nvabgb66ioavyorv.jpg

    181415qmggsq686g9g6w6d.jpg

    181416ly99ld9li1yli0li.jpg

    181417okflkxjzmfpfkf2k.jpg

    181418j39fqqff73qg5qvj.jpg

    181418kupamdrhutrtftjj.jpg

    嘉禾小学转入学生名单


    181419nt6sjuh6hr77nyh3.jpg

    181420ygjkj17bv7wvbqbz.jpg

    181421bru03h028qur3qv3.jpg

    181422j7l060676g7tl5nd.jpg

    181423jn3zie38k5mm83n5.jpg

    朝先小学新生名单


    181424s9o8ggmnk6elsss8.jpg

    181425ikosrql7ekdee50e.jpg

    朝先小学转入学生名单


    181425bhzseexnq5qnnths.jpg

    瑶浦小学新生名单


    181428faa0qnyvaetitagg.jpg

    梓和小学新生名单


    181429vchh9hbvj7zcbbhq.jpg

    181430ylobvoveevwjcdie.jpg

    梓和小学转入学生名单


    181431lw5855jqke8sz3et.jpg

    明德小学新生名单


    181431c3zxqhlv5blkebkp.jpg

    明德小学转入学生名单


    181432z77dk4r966b9x69h.jpg


    181432z84l0hi8uz0lso00.jpg

    欢迎孩子们成为学校大家庭的一员,开始新的一段人生旅程。很高兴在今后的时间里能与您一路同行,一道肩负起培养孩子的重任。教育的发展,孩子的成长,我们和您一起努力!

    181433x8co4e4swwehrwzc.jpg
    温馨提示
    181434uck5kt132b35dtzu.jpg

    请审核通过的学生于8月31日到学校进行报名注册,提供相关认定材料原件供学校核对。未在规定时间内完成网上报名登记的学生,统一于8月31日网上进行补报,教体局视学位情况统筹安排入学。







    转载声明:本文转载自「南丰县教育体育局」

    181434h7gjetbgnnhxs6gb.jpg
    181435fushnzyyza34jlas.jpg
    跳转到指定楼层
    南风网络科技 www.nf63.com
    您需要登录后才可以回帖 登录 | 我要注册   扫一扫,用微信登录

    本版积分规则

    关于我们|网站广告|Archiver|手机版|小黑屋|

    Copyright © 2014-2015 南丰圈(南风网络科技) 版权所有 咨询QQ:QQ 客服电话:13979415368
    赣ICP备14009540号 技术支持:南风网络科技  Powered by Discuz! X3.5
    快速回复 返回顶部 返回列表