•    手机版




    下载客户端后,扫描左侧二维码快速访问本站
  •       官方微信
    南丰圈官方微信公众账号
    添加方式:
    1、搜索:微信号(nf_quan)
    2、扫描:扫描左侧二维码
    及时获得南丰信息尽在 "南丰圈"
  • 最近看过此主题的会员

    毒毒视频认证
    发表于: 2021-8-18 08:46:39 | 显示全部楼层


    084605u58nxc9x9r5no9wx.png

    根据《南丰县2021年秋季城区公办幼儿园招生工作方案》要求,按照招生工作安排,经过审核,县第二幼儿园大班符合条件人数131人,小班符合条件人数191人(不含4个双胞胎),均未超过幼儿园招生计划数,直接录取,其中小班空余45个学位将从未派到学位、自愿到第二幼儿园就读的幼儿中继续通过电脑派位产生,直至招生计划满额为止。

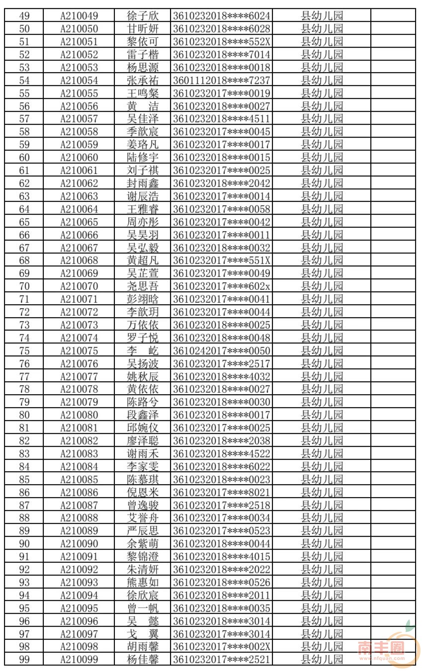
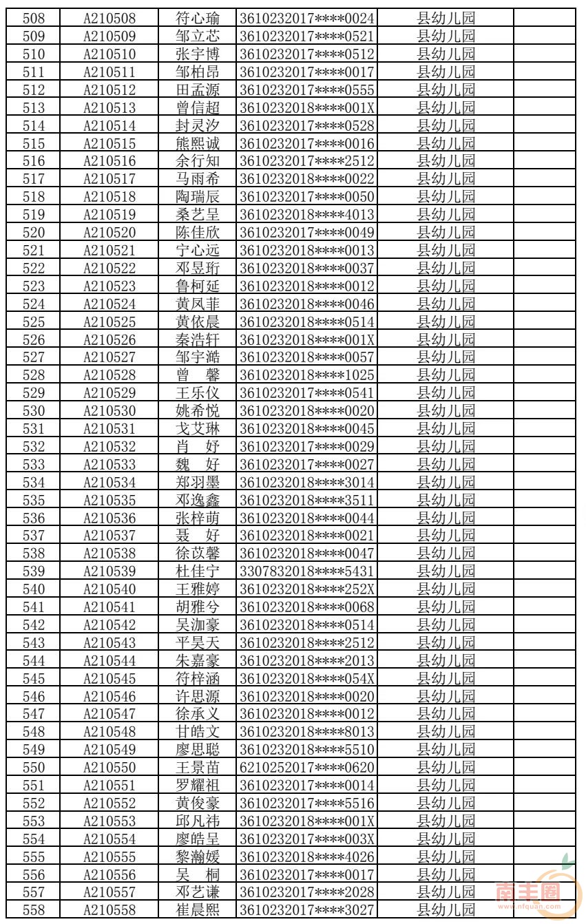
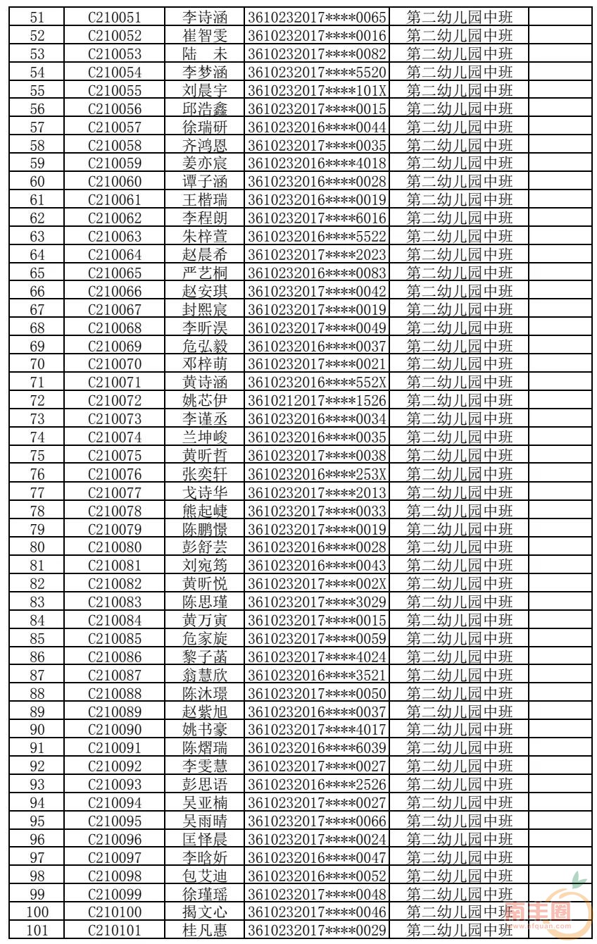
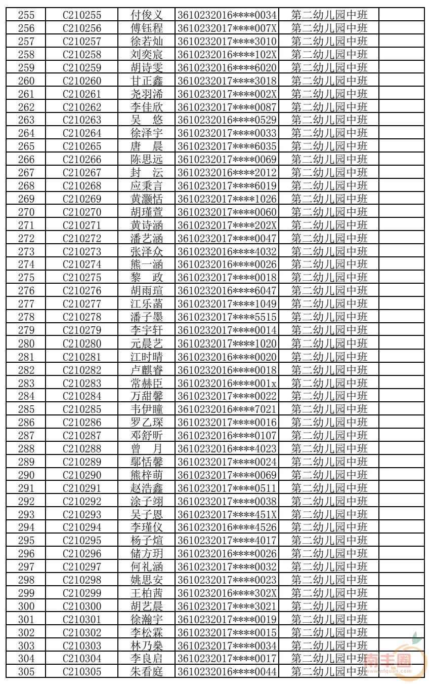
    2021年8月17日下午,在县教体局监察室工作人员的监督下,在县电视台、县公证处的见证下,由电脑派位公司现场生成县幼儿园小班、第二幼儿园中班、第三幼儿园小班幼儿电脑派位编号,其中南丰县幼儿园小班759人(不含10个双胞胎),第二幼儿园中班413人(不含2个双胞胎),第三幼儿园小班170人(不含4个双胞胎)。现予以公示:


    084606dii41s1i77i93y6k.gif
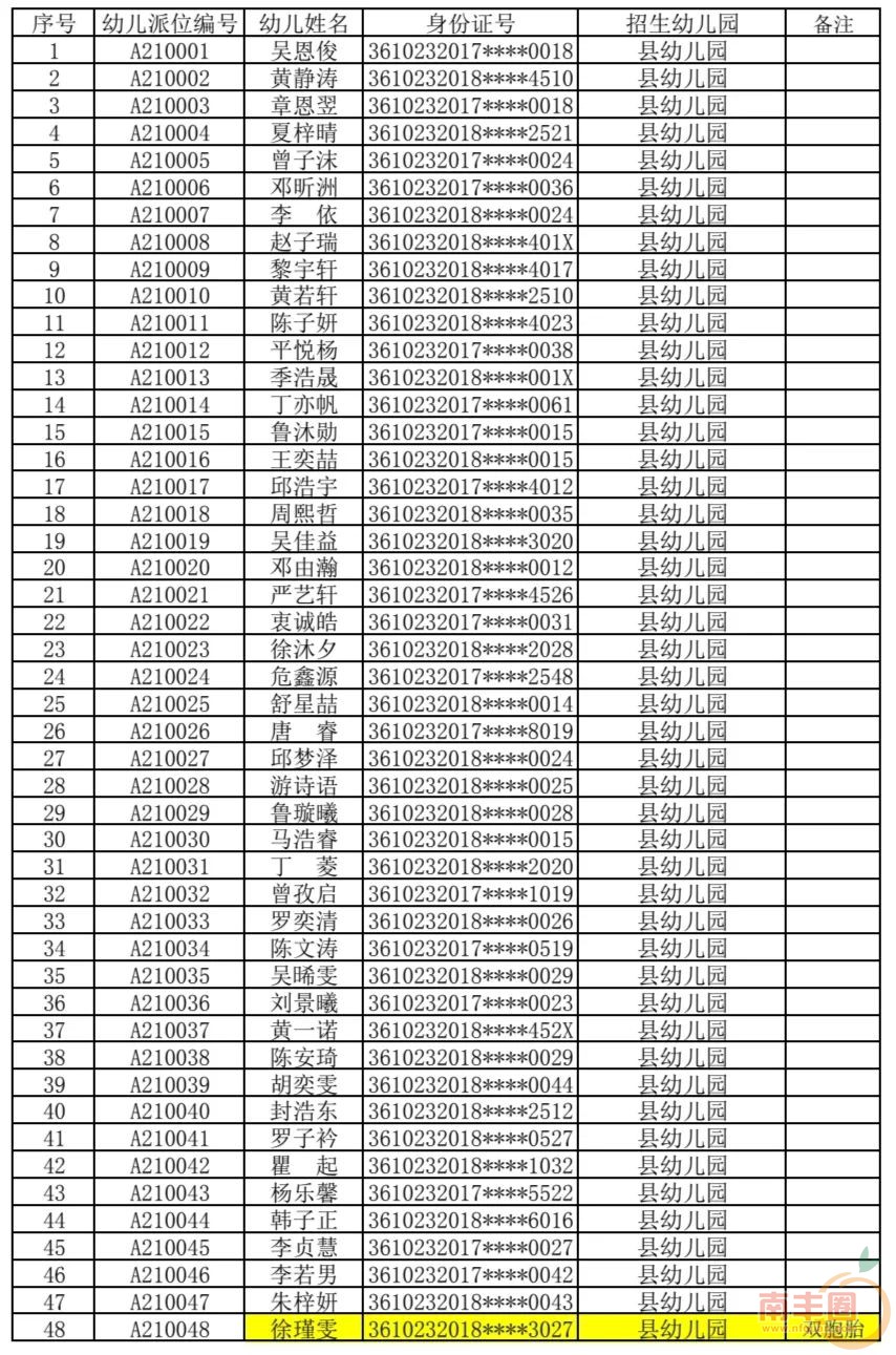
    南丰县幼儿园电脑派位名单编号


    084606ljlcchyuh625c8c6.jpeg

    084606kmdv7606m4hud264.jpeg

    084606p8vr18m8vigjm8gh.jpeg

    084607xfl8fi9918b91bnr.jpeg

    084607ta9xzvu3sqd13ku3.jpeg

    084607goktidqv5wvv47od.jpeg

    084607axwuu8vzxsmjm89z.jpeg

    084607ffjg8zgcg0l0arp0.jpeg

    084608vppipr9rnyyfhn6g.jpeg

    084608whm53l3yorl7hpv5.jpeg

    084608gxun4x4u0n00xd0e.jpeg

    084608gx666zgqbr884qeq.jpeg

    084609aiz1eciy9yr1gn99.jpeg 084609nfe1flyzy9bb4y84.jpeg

    084609xcoo9bk1p709zozo.jpeg

    084609xw67ys679ss6z7si.gif
    第二幼儿园中班电脑派位名单编号


    084609dsqmswqq8zvh9rw4.jpeg

    084610d8nyfu0fywfjsyhj.jpeg

    084610zpt9s3ocz9uj1jtb.jpeg

    084610t0wte41083gb84b0.jpeg

    084610m19q5rq25gt6t5rn.jpeg

    084611olxyzfnj8myii9on.jpeg

    084611dvcn704s8a8wezca.jpeg

    084611i6fz6wycyc0w8bff.jpeg

    084611aurf77gza26d677c.jpeg

    084611n2xwmjh7fowoo8o8.gif
    第三幼儿园电脑派位名单编号


    084612thewfw2ajcehfhqy.jpeg

    084612cdfj6ds4hzh0lvwv.jpeg

    084612oaqbayb8z8t12uyq.jpeg

    084612t4p4q424muyikpk0.jpeg

    084613zjtvkdmbdvb7um9j.gif
    084613ti7usyxi1z7uigsk.png



    转载声明:本文转载自「南丰县教育体育局」

    跳转到指定楼层
    南风网络科技 www.nf63.com
    您需要登录后才可以回帖 登录 | 我要注册   扫一扫,用微信登录

    本版积分规则

    关于我们|网站广告|Archiver|手机版|小黑屋|

    Copyright © 2014-2015 南丰圈(南风网络科技) 版权所有 咨询QQ:QQ 客服电话:13979415368
    赣ICP备14009540号 技术支持:南风网络科技  Powered by Discuz! X3.5
    快速回复 返回顶部 返回列表